1級管工事施工管理技士 過去問
令和7年度(2025年)
問46 (問題B ユニットd 問2)

このページは閲覧用ページです。
履歴を残すには、 「新しく出題する(ここをクリック)」 をご利用ください。

問題

1級管工事施工管理技士試験 令和7年度(2025年) 問46(問題B ユニットd 問2) (訂正依頼・報告はこちら)

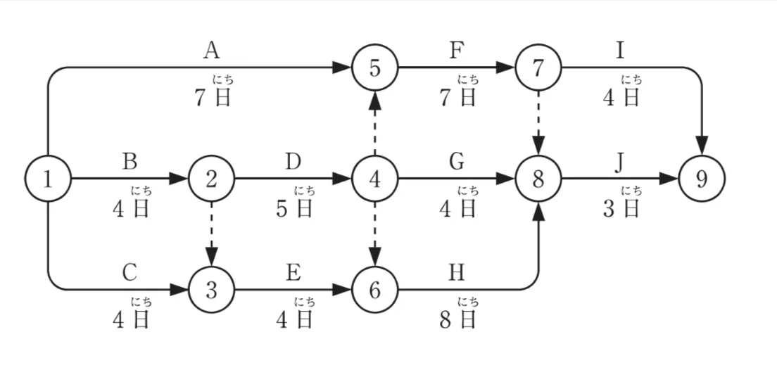
下図に示すネットワーク工程表に関する記述のうち、適当でないものはどれか。
ただし、イベント間のA〜Jは作業内容、日数は作業日数を示す。
問題文の画像
  • クリティカルパスのルートは、2本で所要日数は20日である。
  • 作業内容Eのトータルフロートは、1日である。
  • イベント⑥の最早開始時刻、最遅完了時刻は、ともに9日である。

  • 作業Dの作業日数を2日短縮すると、全体工期も2日短縮される。

次の問題へ

正解!素晴らしいです

残念...

この過去問の解説 (3件)

01

ネットワーク工程表に関する問題です。

 

➀から⑨までのルートのうち、クリティカルパスのルートを検討します。

1) ルート1

➀→⑤→⑦→⑨

2) ルート2

➀→②→④→⑧→⑨

3) ルート3

➀→③→⑥→⑧→⑨

 

1) ルート1について

⑤から⑦にいくには、➀→②→④(9日)が終了する必要があり、➀→⑤の所要日数は、A作業7日より多い、9日必要です。

よって、ルート1の必要日数は、9日+7日+4日=20日になります。

 

2) ルート2について

⑧から⑨に行くためには、➀→⑤→⑦まで終了している必要があります。

実質的に、➀→⑤→⑦は、➀→②→④→⑤→⑦になり、所要日数は、9日+7日=16日です。

➀→②→④→⑧は、9日+4日=13日ですので、ルート2の➀から⑧までの日数は、16日になり、ルート2の所要日数は、16日+3日=19日です。

 

3) ルート3について

⑥から⑧に行くためには、➀→②→④まで終了している必要があり、9日必要になります。

これは、➀→③→⑥の8日より多くなるため、⑥から次に行くには、9日必要です。

ルート3の所要日数は、9日+8日(⑥→⑧)+3日(⑧→⑨)=20日です。

 

以上から、クリティカルパスは、所要日数20日の、ルート1とルート3になります。

選択肢1. クリティカルパスのルートは、2本で所要日数は20日である。

 

冒頭解説のように、クリティカルパスのルートは、「➀→⑤→⑦→⑨」と「➀→③→⑥→⑧→⑨」の2本で、所要日数は20日です。

選択肢2. 作業内容Eのトータルフロートは、1日である。

 

作業Eは4日ですが、②→④が5日掛かるため、作業余裕は、1日あります。

選択肢3.

イベント⑥の最早開始時刻、最遅完了時刻は、ともに9日である。

 

➀→⑥の日数は、クリティカルパスを守るためには、➀→③→⑥の8日が終わっても、➀→②→④の9日が終わっていないと、次に進めないため、最早開始時刻、最遅完了時刻はともに9日です。

選択肢4. 作業Dの作業日数を2日短縮すると、全体工期も2日短縮される。

作業Dの作業日数を2日短縮すると、全体工期は1日短縮される

 

Dの作業日数を5日から3日に短縮すると、➀→②→④は6日になりますが、Aの作業は7日掛かるため、➀→⑤の日数は、7日になります。

従って、ルート1の所要日数は、7日+7日+4日=18日で、2日短縮されます。

 

もう一方のクリティカルパスのルートのルート3は、➀→②→④が終わらない⑥から次にいけませんでしたが、➀→②→④が6日になったため、➀→③→⑥が8日のため、作業Eの終了後に、次の作業Hに取り掛かれます。

したがって、ルート3の所要日数は、8日+8日+3日=19日となり、全体工期(クリティカルパス)は、1日短縮されます。

参考になった数19

02

この問題のポイントは、 ネットワーク工程表における「クリティカルパス(最長経路)」を正確に特定し、 各イベントの「最早開始時刻」と「最遅完了時刻」を算出することです。 また、 特定の作業時間を短縮した際に、 他の経路が新たなクリティカルパスにならないかを慎重に検討することが重要です。

選択肢1. クリティカルパスのルートは、2本で所要日数は20日である。

〇… クリティカルパスは、 「①→⑤→⑦→⑨」と「①→③→⑥→⑧→⑨」の2本であり、 その所要日数はどちらも20日となるため、適当です。 (※⑤や⑥へ進むためには、ダミー等の影響で①→②→④の経路(9日間)の完了を待つ必要があります)

選択肢2. 作業内容Eのトータルフロートは、1日である。

〇… 作業E(③→⑥)の作業日数は4日ですが、 イベント⑥に到達するまでの時間は、 別ルート(①→②→④)の影響で9日必要となります。 一方、 ③までの所要時間は4日であるため、 9日 - 4日 = 5日の猶予があります。 ここから作業Eの4日を引くと、 トータルフロート(余裕日数)は「1日」となるため、適当です。

選択肢3.

イベント⑥の最早開始時刻、最遅完了時刻は、ともに9日である。

〇… イベント⑥において、 クリティカルパス上の時刻を計算すると、 ①→②→④の経路(9日)が、 ①→③→⑥の経路(8日)よりも長くかかるため、 最早開始時刻は「9日」となります。 また、 ⑥はクリティカルパス上にあるため、 最遅完了時刻も同じく「9日」となり、適当です。

選択肢4. 作業Dの作業日数を2日短縮すると、全体工期も2日短縮される。

×… 作業Dの作業日数を2日短縮(5日→3日)した場合、 全体工期は「1日」しか短縮されないため、不適当です。 作業Dを2日短縮すると①→②→④の経路は7日になりますが、 別の経路である①→③→⑥が8日かかるため、 イベント⑥以降の作業開始は8日目からとなります。 その結果、 全体の工期は20日から19日へと1日のみの短縮に留まります。

参考になった数2

03

ネットワーク工程表に関する問題です。

選択肢1. クリティカルパスのルートは、2本で所要日数は20日である。

〇 

 

文章の通りです。 

 

クリティカルパスは 

①→②→④⋯⑤→⑦→⑨ 

①→②→④⋯⑥→⑧→⑨2本20日です。

選択肢2. 作業内容Eのトータルフロートは、1日である。

〇 

 

文章の通りです。 

 

②→④のルート(作業D)が5日作業しています。 

③→⑥のルート(作業E)は4日で1日余裕があります。

選択肢3.

イベント⑥の最早開始時刻、最遅完了時刻は、ともに9日である。

〇 

 

文章の通りです。 

 

イベント⑥は ①→③→⑥で8日になりますが 

①→②→④⋯⑥で9日でクリティカルパス上になります。 

よって最早開始時刻、最遅完了時刻は9日になります。

選択肢4. 作業Dの作業日数を2日短縮すると、全体工期も2日短縮される。

× 

 

作業Dの作業日数を2日短縮では全体工期は1日短縮になります。 

よって設問は誤りです。

参考になった数2